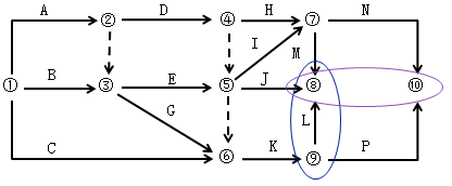
某分部工程双代号网络计划如下图所示,图中的错误有( )。

考点:双代号网络图的绘制。选项B,节点8、9指向,节点编号错误;选项D,节点8、10均为终点,存在多个终点节点。参见教材P38。
在常用的工程质量控制的统计方法中,可以用来系统整理分析某个质量问题及其产生原因之间关系的方法是( )。
监理单位在工程勘察阶段提供相关服务时,向建设单位提交的工程勘察成果评估报告中应包括的内容有( )
某工程进度计划执行过程中,发现某工作出现了进度偏差。经分析该偏差仅对后续工作有影响而对总工期无影响。则该偏差值应()。
在建设工程进度控制措施中,对建设单位提出应急赶工给予赶工费用补偿的属于()措施。
关于建设工程网络计划技术特征的说法,正确的有()。
建设工程组织非节奏流水施工的特点有( )。
工程建设过程中,形成工程实体质量的阶段是()阶段。
下列建设工程进度影响因素中,属于业主因素的有( )。
工程建设的不同阶段对工程项目质量的形成起着不同的作用和影响,决定工程质量的关键阶段是( )。
工程网络计划的资源优化是指通过改变( ),使资源按照时间的分布符合优化目标。