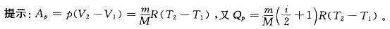
对于室温下的单原子分子理想气体,在等压膨胀的情况下,系统对外所做的功与从外界吸收的热量之比A/Q等于:

( )用来改变冷却水的循环路线及流量,自动调节冷却的温度。
AJR发动机机油泵安装在发动机的( )。
后驱式传动系统传动间隙的标准值为( )角。
对于送厂大修的汽车进厂检验,下面说法不正确的是( )。
根据《汽车驱动桥修理技术条件》(GB8825-88)技术要求,圆锥主动齿轮与突缘键槽的侧隙不大于( )mm。
对于汽车制动试验台,以下哪种说法不正确( )。
以下属于二级维护内容的是:( )。
关于EQ1090型汽车电路,以下哪种说法正确( )。
当冷却液不足时,将会使发动机水温过低,而导致发动机机件的损坏。( )
进行自动变速器( )时,时间不得超过5s。