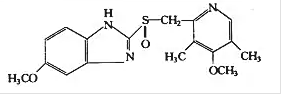
奥美拉唑的化学结构式是
考查奥美拉唑的化学结构。B为兰索拉唑,C为泮托拉唑,D为雷贝拉唑,A为西咪替丁。故本题答案应选E。
奥美拉唑的化学结构式为5-甲氧基-2-[[(4-甲氧基-3,5-二甲基-2-吡啶基)甲基]亚磺酰基]-1H-苯并咪唑,分子式为C17H19N3O3S,分子量约为345.42。

社会工作者小张为了鼓励居民参与社区活动,对居民参与态度和参与能力进行了调查,提出下列观点,其中错误的是( )。
老年人有老年人的意愿需要表达,有老年人的利益需要维护,有老年人的作用需要发挥,这是指老年人的( )需要。
在社区参与的( )形式中,虽然居民被邀请参加了决策过程,但社区建设或改造的最初设计者通常会设定讨论议题的范围,限定其他参与者的决策权。
( )是老年人最显著的特点。
在为老年人做预估时,应考虑( )。
社会工作者在为老年人提供服务时可以采用小组工作的方法,但是下列情形中不宜采用此种方法的是( )。
谢慧在为社区孤寡老人提供服务时,总是把他们当成自己的父母来照顾。面对这些无儿无女的老人,她总会潸然泪下。显然,在她心里这些孤寡老人也是自己的亲人。谢慧的这种现象属于( )。
独居老人张伯伯不慎摔倒,造成骨折。出院后社会工作者为他联系社区医院协助其康复训练。同时,还联系社区服务机构为张伯伯提供居家和送餐服务。上述社会工作服务属于( )。
以下有关老年人特点的表述中,不正确的有( )。
老年社区工作的基本原则包括( )。