氢原子中的电子在下面四个跃迁过程中:
(1)从E2跃迁到E5;(2)从E5跃迁到E2;
(3)从E3跃迁到E6;(4)从E6跃迁到E3.
吸收光子的波长较短的跃迁过程是(),发射光子的波长较长的跃迁过程是().
(1)(4) 【解题指要】本试题的考点是氢原子的能级和电子的跃迁.
当电子从低能级跃迁到高能级时,能量增加,必须吸收光子,所以过程(1)、(3)吸收光子;当电子从高能级跃迁到低能级时,能量减小,必然发射光子,因此过程(2)、(4)发射光子.
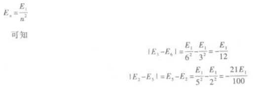
氢原子中电子跃迁过程中吸收或发射的光子的波长为
.
按照氢原子的能级公式

因为氢原子基态能量E1是负的,所以
E5-E2>E6-E3
由式①可知,在四个跃迁过程中光子的波长为
A2.5<A 6.3
因此,吸收光子且波长较短的过程是(1),发射光子且波长较长的过程是(4).
考生必须记住:氢原子中所有能级的能量都是负的,基态E1的能量最小,绝对值最大









