当前位置:首页 → 建筑工程 → 公用设备工程师 → (暖通空调+动力)基础知识->设β1,β2是线性方程组Ax=b的两个不同的解,α1、α2是
设β1,β2是线性方程组Ax=b的两个不同的解,α1、α2是导出组Ax=0的基础解系,k1,k2是任意常数,则Ax=b的通解是:

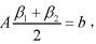
由β 1,β2是线性方程组Ax =b的解,则Aβ 1=b,Aβ2=b,得
所以
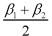
也是线性方程组Ax =b的解,由α1、α2 是线性方程组Ax =0的解,则Aα1=0,Aα2=0,得A(α1-α2 )=0,因此α1-α2 是Ax =0的解。线性方程组Ax =0的通解为
招标代理机构若违反《中华人民共和国招标投标法》,损害他人合法利益,应对其进行处罚,下列处罚中不正确的是( )。
三角高程测量,采取对向观测,可消除( )。
玻璃电极使用前需浸泡至少( )。
分光光度法与比色法相比,具有下列优势,其说法不正确的是( )。
下列属于可逆氧化还原电对的是( )。
待测水样中含有铵盐且pH≈9时,用莫尔法测定水中Cl-,分析结果( )。
下列情况属于过失误差的是( )。
测定水样中的总氮,水样用硫酸酸化至pH值小于2,则水样的最长保存时间是( )。
当水泵压水池水位下降时,水泵工况点会向流量( )。
给水泵站内经常启闭且大于及等于DN300mm的阀门不宜采用( )。