当前位置:首页建筑工程公用设备工程师专业案例(暖通空调专业)->热水供热系统设计热负荷为2000kW,设计供回水温度为85℃

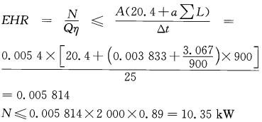
热水供热系统设计热负荷为2000kW,设计供回水温度为85℃/60℃,主干线总长为900m,循环水泵电动机采用直连方式,水泵在设计工况点的轴功率合理的是( )。

  • A.13kW
  • B.12kW
  • C.11kW
  • D.10kW
查看答案 纠错
答案: D
本题解析:

专业案例(暖通空调专业),章节练习,专业案例(暖通空调专业)

更新时间:2021-12-13 05:23

你可能感兴趣的试题

单选题

专业案例(给排水),章节练习,给水工程案例

  • A.Ⅰ、Ⅲ
  • B.Ⅱ、Ⅳ、Ⅴ
  • C.Ⅰ、Ⅲ、Ⅳ
  • D.Ⅲ、Ⅵ
查看答案
单选题

专业案例(给排水),章节练习,给水工程案例

  • A.0.20m
  • B.0.11m
  • C.0.09m
  • D.0.05m
查看答案
单选题

专业案例(给排水),章节练习,给水工程案例

  • A.2265
  • B.1053
  • C.800
  • D.283
查看答案
单选题

专业案例(给排水),章节练习,给水工程案例

  • A.281mm
  • B.325mm
  • C.350mm
  • D.400mm
查看答案
单选题

专业案例(给排水),章节练习,给水工程案例

  • A.14.0
  • B.30.9
  • C.36.4
  • D.41.6
查看答案
单选题

专业案例(给排水),章节练习,给水工程案例

  • A.1.43
  • B.1.30
  • C.1.27
  • D.1.05
查看答案
单选题

专业案例(给排水),章节练习,给水工程案例

  • A.14.4
  • B.12.5
  • C.11.52
  • D.10.00
查看答案
单选题

专业案例(给排水),章节练习,给水工程案例

  • A.18.51%
  • B.21.18%
  • C.36.92%
  • D.42.24%
查看答案
单选题

专业案例(给排水),章节练习,给水工程案例

  • A.30.67L/s
  • B.20.93L/s
  • C.18.73L/s
  • D.32.87L/s
查看答案
单选题

专业案例(给排水),章节练习,给水工程案例

  • A.79.4%
  • B.72.2%
  • C.69%
  • D.47.4%
查看答案