某抗震设防烈度为8度(0.30g)的框架结构,采用摩擦型长螺旋钻孔灌注桩基础,初步确定某中柱采用如题图所示的四桩承台基础,已知桩身直径为400mm,单桩竖向抗压承载力特征值Ra=700kN,承台混凝土强度等级C30(ft=1.43N/mm2),桩间距有待进一步复核。考虑x向地震作用,相应于荷载效应标准组合时,作用于承台底面标高处的竖向力FEk=3341kN,弯矩MEk=920kN·m,水平力VEk=320kN,承台有效高度h0=730mm,承台及其上土重可忽略不计。

假定x向地震作用效应控制桩中心距,x、y向桩中心距相同,且不考虑y向弯矩的影响。试问,根据桩基抗震要求确定的桩中心距s(mm)与下列何项数值最为接近?( )
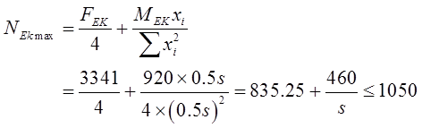
根据《建筑桩基技术规范》(JGJ 94—2008)第5.2.1条第2款规定,桩基竖向承载力,在地震作用效应和荷载效应标准组合下,偏心竖向力作用下应满足:NEKmax≤1.5R=1.5×700=1050kN。
又地震作用效应和荷载效应标准组合下,基桩或复合基桩的最大竖向力为:

解得s≥2.142m,故应选2200mm。









