某抗震设防烈度为8度(0.30g)的框架结构,采用摩擦型长螺旋钻孔灌注桩基础,初步确定某中柱采用如题图所示的四桩承台基础,已知桩身直径为400mm,单桩竖向抗压承载力特征值Ra=700kN,承台混凝土强度等级C30(ft=1.43N/mm2),桩间距有待进一步复核。考虑x向地震作用,相应于荷载效应标准组合时,作用于承台底面标高处的竖向力FEk=3341kN,弯矩MEk=920kN·m,水平力VEk=320kN,承台有效高度h0=730mm,承台及其上土重可忽略不计。

试问,当桩中心距s=2400mm,地震作用效应组合时,承台A—A剖面处的抗剪承载力设计值(kN)与下列何项数值最为接近?( )
根据《建筑桩基技术规范》(JGJ 94—2008)第5.9.10条规定,承台斜截面受剪承载力可按下列公式计算:V≤βhsαftb0h0;
式中,α为承台剪切系数,按式α=1.75/(λ+1)计算;λ为计算截面的剪跨比,λx=ax/h0,ax为柱边(墙边)或承台变阶处至y方向计算一排桩的桩边的水平距离,当λ<0.25时,取λ=0.25;当λ>3时,取λ=3。
故λx=ax/h0=(1200-350-200×0.8)/730=0.945(注:上式中0.8为圆桩截面换算为方桩截面的换算系数)α=1.75/(λx+1)=1.75/(0.945+1)=0.9。
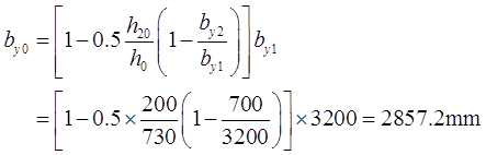
对锥形承台,有效高度h0=730mm,有效宽度为:

对C30混凝土,ft=1.43N/mm2,βhs=(800/h0)1/4=1.0(当h0<800时,取h0=800);
根据《建筑抗震设计规范》(GB 50011—2010)(2016年版)表5.4.2可得,进行抗震验算时,抗剪承载力调整系数γRE=0.85。
故:[V]=βhsαftby0h0/γRE=1.0×0.9×1.43×2857.2×730/0.85=3263kN。









