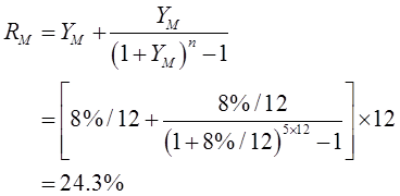
某临街商铺,投资者期望的自有资金资本化率为10%,银行可提供6成、5年利率8%、按月等额偿还的抵押贷款,则综合资本化率为( )。
综合资本化率=贷款价值比率×抵押贷款常数+(1-贷款价值比率)×自有资金资本化率。其中年抵押贷款常数计算如下:

故综合资本化率R0=0.6×24.3%+(1-0.6)×10%=18.6%。
某房地产的土地面积2000m2,建筑面积8000m2,土地于2003年10月1日通过有偿出让方式获得,使用权年限为40年,当时的单价为5000元/m2。建筑物为钢筋混凝土结构,于2004年10月1日竣工投入使用,当时的建筑造价为建筑面积2500元/m2,2010年10月1日与该房地产的地段和用途相同使用权年限为40年的土地的单价为6000元/m2,该类房屋的重置价格(含使用权年限为40年的土地价格)为每平方米建筑面积3000元,估计该类建筑物的残值为2%,土地报酬率为6%。试利用上述资料估算该房地产2010年10月1日的总价。
某空置的无电梯旧写字楼的建筑面积为2000m2,剩余经济寿命为35年。不考虑土地使用年限的影响。在价值时点,同类无电梯写字楼的市场租金为1.5元/(m2·天),空置率为6%;同类有电梯写字楼的市场租金为1.8元/(m2·天),空置率为4%。预计5年后该写字楼旁边将兴建一大型购物中心,到那时同类有电梯写字楼的市场租金将上涨到2元/(m2·天),空置率将降为2%;同类无电梯写字楼的市场租金及空置率将不变。在价值时点,如果对该写字楼单独增加电梯,其必要费用为180万元;而假设对该写字楼进行重置并随同增加电梯,其必要费用仅为150万元。已知报酬率为10%,运营费用率为25%,每年计365天。请通过计算判断该写字楼无电梯的功能缺乏是否可修复;计算获知兴建大型购物中心后该写字楼的总价值。
预计某宗房地产未来第一年的净收益为38万元,此后每年的净收益将在上一年的基础上减少3万元,则该宗房地产的合理经营期限为12年。( )
投资回收与投资回报是两个完全不同的概念,计算报酬率时,应是投资回报与所投入资本的比值。
清算价值低于市场价值。
在界定估价对象的财产范围时,要特别注意是否不包括属于房地产的资产和包括房地产以外的财产。( )
某宗房地产占地2000m2,容积率为3.0。土地是在2009年5月通过出让方式取得的,出让年限是40年。建筑物是于2010年11月建成使用的,经济寿命为50年。经调查,现在取得类似土地40年使用权的市场价格是500元/m2,同类建筑物重置价格是1000元/m2。通过估价师对该建筑物观察鉴定,对门窗等可修复部分进行修复需花费5万元,装修重置价格30万元,经济寿命5年;设备的重置价格50万元,经济寿命15年。残值率假设均为零,报酬率为8%。
求该房地产在2013年5月的市场价格。(10分)
下列情况中会导致房地产价格下降的是( )。
预计某房地产未来第一年的净收益为170万元,此后每年的净收益在上一年的基础上减少8万元,报酬率为8%,则下列说法中,正确的有( )。
估价人员平常就应留意收集估价所需的有关资料,在估价时更应如此。估价所需的资料主要包括( )。