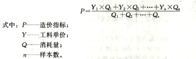
在应用数据统计法测算工程造价指标时,采用各样本工程的消耗量占比作为权重进行加权平均计算的造价指标是( )。
2021教材P106
本题考查的是工程造价指标的编制及使用。数据统计法计算建设工程单价指标,应采用加权平均法。

根据《招标投标法实施条例》,依法必须进行招标的项目可以不进行招标的情形是()。
下列工程中,属于分部工程的是( )
根据《工程造价咨询企业管理办法》,工程造价咨询企业可被处1万元以上3万元以下罚款的情形是( )。
建设工程项目采用Partnering模式的特点有( )。
关于Partnering模式的说法,正确的是( )。
关于《国务院关于投资体制改革的决定》,特别重大的政府投资项目应实行( )制度。
根据《建筑法》,获取施工许可证后因故不能按期开工的,建设单位应当申请延期,延期的规定是( )。
根据我国《价格法》,制定关系群众切身利益的公用事业价格、公益性服务价格、自然垄断经营的商品价格时,应当建立( )制度。
判断合同是否成立的依据是( )。
根据《工程造价咨询企业管理办法》,申请甲级工程造价咨询企业资质,须取得乙级工程造价咨询企业资质资格证书满( )年。