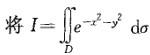
(其中D:x2+y2≤1)化为极坐标系下的二次积分,其形式为下列哪一式?

提示:化为极坐标系下的二次积分,面积元素dσ=rdrdθ,把x=rcosθ,y=rsinθ代入。
TCP/IP协议是Internet中计算机之间通信所必须共同遵循的一种:
高承台基桩,其自由长度为l0,入土深度为h,且h<4,0/α(α为桩的变形系数)。下列四种情况中对抵抗桩的压曲失稳最为有利(即桩的计算长度Lc最小)的是( )。

混凝土预制桩基础中,桩的中心距不宜小于( )。


图中取A支座反力为力法的基本未知量X1(向上为正),则X1为( )。


图示结构的正确弯矩图为( )。


=( )。
=( )。
=( )。
=( )。