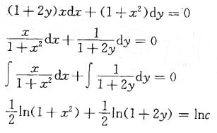
微分方程(1+2y)xdx+(1+x2)dy 的通解为:

(以上各式中,c为任意常数)
提示:方程为一阶可分离变量方程,分离变量后求解。

ln(1+x2) +ln(1+2y) = 2lnc=lnc1,其中c1= c2
故(1+x2)(1+2y)=c1
TCP/IP协议是Internet中计算机之间通信所必须共同遵循的一种:
高承台基桩,其自由长度为l0,入土深度为h,且h<4,0/α(α为桩的变形系数)。下列四种情况中对抵抗桩的压曲失稳最为有利(即桩的计算长度Lc最小)的是( )。

混凝土预制桩基础中,桩的中心距不宜小于( )。


图中取A支座反力为力法的基本未知量X1(向上为正),则X1为( )。


图示结构的正确弯矩图为( )。


=( )。
=( )。
=( )。
=( )。