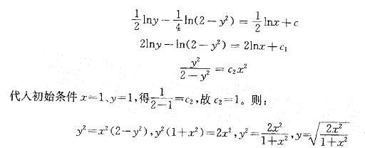
曲线通过(1,1)点,且此曲线在[1,x]上所形成的曲边梯形面积的值等于该曲线终点的横坐标x与纵坐标y之比的两倍减去2,其中x>1,y>0。则当y x=1=1时的曲线方程为:

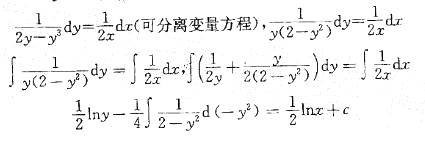
提示:把方程变形,得到可分离变量的方程,求通解、特解。解法如下:
y3=2(y-xy') ,y3=2y-2xy', 2xy'=2y-y3


TCP/IP协议是Internet中计算机之间通信所必须共同遵循的一种:
高承台基桩,其自由长度为l0,入土深度为h,且h<4,0/α(α为桩的变形系数)。下列四种情况中对抵抗桩的压曲失稳最为有利(即桩的计算长度Lc最小)的是( )。

混凝土预制桩基础中,桩的中心距不宜小于( )。


图中取A支座反力为力法的基本未知量X1(向上为正),则X1为( )。


图示结构的正确弯矩图为( )。


=( )。
=( )。
=( )。
=( )。