当前位置:首页建筑工程注册岩土工程师岩土基础知识->已知A的伴随矩阵的秩为1,则a=

岩土基础知识,章节练习,岩土基础知识已知A的伴随矩阵的秩为1,则a=

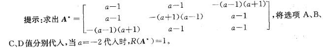
  • A.-2
  • B.-1
  • C.1
  • D.2
查看答案 纠错
答案: C
本题解析:

岩土基础知识,章节练习,岩土基础知识

更新时间:2022-07-12 08:40

你可能感兴趣的试题

单选题

TCP/IP协议是Internet中计算机之间通信所必须共同遵循的一种:

  • A.信息资源
  • B.通信规定
  • C.软件
  • D.硬件
查看答案
单选题

高承台基桩,其自由长度为l0,入土深度为h,且h<4,0/α(α为桩的变形系数)。下列四种情况中对抵抗桩的压曲失稳最为有利(即桩的计算长度Lc最小)的是( )。

岩土专业知识,高分通关卷,2022年注册岩土工程师《专业知识考试(上)》高分通关卷

  • A.见图A
  • B.见图B
  • C.见图C
  • D.见图D
查看答案
单选题

混凝土预制桩基础中,桩的中心距不宜小于( )。

  • A.4D
  • B.3.5D
  • C.3.0
  • D.2.5d
查看答案
单选题

岩土专业基础知识,点睛提分卷,2022年注册岩土工程师《专业基础考试》点睛提分卷练习题

岩土专业基础知识,点睛提分卷,2022年注册岩土工程师《专业基础考试》点睛提分卷练习题

  • A.见图A
  • B.见图B
  • C.见图C
  • D.见图D
查看答案
单选题

图中取A支座反力为力法的基本未知量X1(向上为正),则X1为(  )。

岩土专业基础知识,点睛提分卷,2022年注册岩土工程师《专业基础考试》点睛提分卷练习题

岩土专业基础知识,点睛提分卷,2022年注册岩土工程师《专业基础考试》点睛提分卷练习题

  • A.见图A
  • B.见图B
  • C.见图C
  • D.见图D
查看答案
单选题

图示结构的正确弯矩图为(  )。

岩土专业基础知识,点睛提分卷,2022年注册岩土工程师《专业基础考试》点睛提分卷练习题

岩土专业基础知识,点睛提分卷,2022年注册岩土工程师《专业基础考试》点睛提分卷练习题

  • A.见图A
  • B.见图B
  • C.见图C
  • D.见图D
查看答案
单选题

岩土基础知识,高分通关卷,2022年注册土木工程师(岩土)《公共基础考试》高分通关卷5=( )。

  • A.0
  • B.<img src='http://tp.mxqe.com/data/190/6908071_0_1.jpg' alt='岩土基础知识,高分通关卷,2022年注册土木工程师(岩土)《公共基础考试》高分通关卷5' title='岩土基础知识,高分通关卷,2022年注册土木工程师(岩土)《公共基础考试》高分通关卷5'>
  • C.<img src='http://tp.mxqe.com/data/190/6908071_0_2.jpg' alt='岩土基础知识,高分通关卷,2022年注册土木工程师(岩土)《公共基础考试》高分通关卷5' title='岩土基础知识,高分通关卷,2022年注册土木工程师(岩土)《公共基础考试》高分通关卷5'>、、
  • D.1
查看答案
单选题

岩土基础知识,高分通关卷,2022年注册土木工程师(岩土)《公共基础考试》高分通关卷5=( )。岩土基础知识,高分通关卷,2022年注册土木工程师(岩土)《公共基础考试》高分通关卷5

  • A.见图A
  • B.见图B
  • C.见图C
  • D.见图D
查看答案
单选题

岩土基础知识,高分通关卷,2022年注册土木工程师(岩土)《公共基础考试》高分通关卷5=( )。

  • A.0
  • B.1
  • C.e2
  • D.e3
查看答案
单选题

岩土基础知识,高分通关卷,2022年注册土木工程师(岩土)《公共基础考试》高分通关卷4=( )。

  • A.0
  • B.1
  • C.2
  • D.3
查看答案