当前位置:首页学历类成人高考文科数学->点P(2,5)到直线x+y-9=0的距离是()

点P(2,5)到直线x+y-9=0的距离是( )

文科数学,章节练习,文科数学模拟

  • A.见图A
  • B.见图B
  • C.见图C
  • D.见图D
查看答案 纠错
答案: C
本题解析:

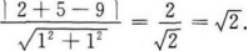
【考情点拨】本题主要考查的知识点为点到直线的距离公式. 【应试指导】由点到直线的距离公式得,P(2,5)到直线x+y-9=0的距离为

文科数学,章节练习,文科数学模拟

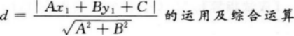
[注]本题主要考查点A(x1,y1)到直线L:Ax+By+C=0的距离公式

文科数学,章节练习,文科数学模拟

能力,切记距离不能为负.

更新时间:2022-08-27 07:58

你可能感兴趣的试题

单选题

英语,章节练习,英语专科

  • A.见图A
  • B.见图B
  • C.见图C
  • D.见图D
查看答案
单选题

英语,章节练习,英语专科

  • A.见图A
  • B.见图B
  • C.见图C
  • D.见图D
查看答案
单选题

英语,章节练习,英语专科

  • A.见图A
  • B.见图B
  • C.见图C
  • D.见图D
查看答案
单选题

英语,章节练习,英语专科

  • A.见图A
  • B.见图B
  • C.见图C
  • D.见图D
查看答案
单选题

英语,章节练习,英语专科

  • A.见图A
  • B.见图B
  • C.见图C
  • D.见图D
查看答案
单选题

英语,章节练习,英语专科

  • A.见图A
  • B.见图B
  • C.见图C
  • D.见图D
查看答案
单选题

英语,章节练习,英语专科

  • A.见图A
  • B.见图B
  • C.见图C
  • D.见图D
查看答案
单选题

英语,章节练习,英语专科

  • A.见图A
  • B.见图B
  • C.见图C
  • D.见图D
查看答案
单选题

英语,章节练习,英语专科

  • A.见图A
  • B.见图B
  • C.见图C
  • D.见图D
查看答案
单选题

英语,章节练习,英语专科

  • A.见图A
  • B.见图B
  • C.见图C
  • D.见图D
查看答案