当前位置:首页 → 学历类 → 成考(专升本) → 高等数学二(专升本)->

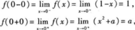
填1.因为
则由(0-0)=(0+0),得a=1.
请选出读音不同的选项。( )

7月16日,我国智能科技领域的最高奖“( )人工智能科学技术奖”揭晓,共评出66个获奖项目成果。浙江大学潘云鹤院士在计算机美学、数字图书馆、智能城市等领域取得多项重大成果,荣获该奖项的最高成就奖。
近日,全国政协常委、中国佛教协会副会长、中国佛教协会西藏分会会长班禅额尔德尼·确吉杰布在西藏自治区拉萨市主持召开年轻活佛培养教育座谈会。班禅说,藏传佛教传承千年,是佛教( )的具体产物,是中华文化宝库中的一颗璀璨明珠。
2022全球数字经济大会以“( )”为主题,定于7月28-30日在北京举办。
7月12日下午,习近平来到新疆大学考察调研时强调,育人的根本在于( )。
最高法7月15日发布的司法解释进一步明确家庭暴力的形式,( )等均属于家庭暴力。
①冻饿②经常性侮辱③诽谤④威胁⑤跟踪⑥骚扰
7月12日下午,习近平总书记来到乌鲁木齐国际陆港区,听取整体情况介绍,通过实时画面察看中欧班列(乌鲁木齐)集结中心各功能区和( )口岸现场作业情况,并同工作人员及现场办事人员亲切交流。
7月13日上午,习近平总书记来到乌鲁木齐市天山区固原巷社区,走进党群服务中心,了解这里开展便民服务、老年人和青少年文化活动等情况时表示,社区很重要,( ),很多工作都要靠社区去完成。
2022年7月13日上午,习近平总书记来到新疆维吾尔自治区博物馆,参观《新疆历史文物展》,观看( )英雄史诗《玛纳斯》说唱展示,并同《玛纳斯》非物质文化遗产传承人亲切交谈
2022年7月14日,国家卫生健康委举行新闻发布会。相关负责人在会上介绍,国家基层医疗卫生综合管理平台已实现与23个省份网络联通和数据传输。到2021年底,( )已覆盖所有贫困县并向乡村延伸。