在理论分析中,“价格”是指租用价格,即通常所说“租金”
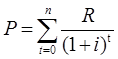
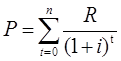
。租用价格(R)和购买价格(P)之间有一个基本关系,即式中t代表( )。
土地所有者会把土地给出价最高厂商来使用,房屋建造者也是把房屋卖(或租)给出价最高居民来使用。所以,“价格”是一个决定性因素。在理论分析中,“价格”是指租用价格,即通常所说“租金”。租用价格(R)和购买价格(P)之间有一个基本关系,即:

购买价格等于多年租用价格贴现之后“和”。式中,i是贴现率(利率);t代表年份;n代表一共使用多少年,对于住房来说,n可按住房寿命年份计算。




影响土壤环境的因素中,下列哪一项研究是环境科学的一项基础性工作,是环境质量评价和预测污染物在环境中迁移转化机理,以及土壤环境标准制定的主要依据,对于地方病的环境病因研究,也具有重要参考价值?( )
根据《中共中央国务院关于建立国土空间规划体系并监督实施的若干意见》,推进“放管服”改革。以“多规合一”为基础,统筹( )三大环节,推动“多审合一”“多证合一”。
下列关于城市下垫面不透水率与平均地表温度关系的表述,正确的是( )。
下列哪项不属于实现区域生态安全格局的途径?( )
当机动车辆的行车速度达到80公里/小时,其停车视距至少应为( )米。
通过某种传感器装置,在不与研究对象直接接触的情况下,获得其特征信息,并对这些信息进行提取、加工、表达和应用的一门科学技术是( )。