当前位置:首页医卫类执业药师西药学专业一->拉米夫定的化学结构为

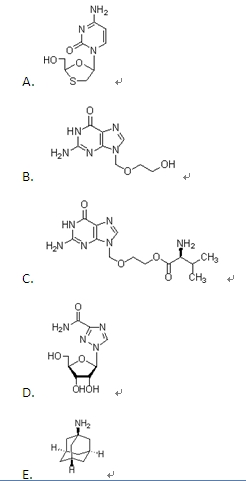
拉米夫定的化学结构为

西药学专业一,章节练习,西药学专业(一)

  • A.见图A
  • B.见图B
  • C.见图C
  • D.见图D
查看答案 纠错
答案: A
本题解析: 暂无解析
更新时间:2022-09-23 01:28

你可能感兴趣的试题

单选题

可待因具有成瘾性,其主要原因是

  • A.具有吗啡的基本结构
  • B.代谢后产生吗啡
  • C.与吗啡具有相同的构型
  • D.与吗啡具有相似疏水性
  • E.可待因本身具有成瘾性
查看答案
多选题

具有抗厌氧菌作用的药物有( )

  • A.氨曲南
  • B.舒巴坦
  • C.头孢拉定
  • D.亚胺培南
  • E.甲硝唑
查看答案
单选题

与阿托品比较,东莨菪碱的特点是

  • A.中枢镇静作用较强
  • B.对有机磷中毒解救作用强
  • C.对眼的作用强
  • D.对胃肠道平滑肌作用强
  • E.对心脏作用强
查看答案
单选题

高血压伴消化性溃疡患者不宜选用的药物是( )

  • A.普萘洛尔
  • B.利血平
  • C.哌唑嗪
  • D.卡托普利
  • E.氯沙坦
查看答案
单选题

吗啡急性中毒致死的主要原因是

  • A.大脑皮层深度抑制
  • B.延脑过度兴奋后功能紊乱
  • C.血压过低
  • D.心跳骤停
  • E.呼吸肌麻痹
查看答案
单选题

磺胺类药物的抗菌机制是

  • A.抑制二氢叶酸合成酶
  • B.抑制四氢叶酸还原酶
  • C.改变细菌细胞膜通透性
  • D.抑制二氢叶酸还原酶
  • E.改变细菌胞浆膜通透性
查看答案
单选题

与受体有亲和力,无内在活性的是

  • A.激动药
  • B.竞争性拮抗药
  • C.部分激动药
  • D.非竞争性拮抗药
  • E.拮抗药
查看答案
单选题

乳剂合并后进一步发展使乳剂分为油、水两相称为乳剂的

  • A.分层
  • B.絮凝
  • C.转相
  • D.合并
  • E.破裂
查看答案
单选题

卡托普利的结构式为

西药学专业一,章节练习,基础复习,常用的药物结构与作用

  • A.见图A
  • B.见图B
  • C.见图C
  • D.见图D
查看答案
单选题

叶呈三回羽状深裂,头状花序极多,小花球形,香气特异的中药材是

  • A.薄荷
  • B.广藿香
  • C.青蒿
  • D.细辛
  • E.蒲公英
查看答案