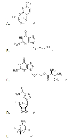
金刚烷胺的化学结构为

此题考查的是抗病毒药的结构特征。拉米夫定属于核苷类,阿昔洛韦属于开环核苷类,利巴韦林属于非核苷类,利巴韦林结构中含有三氮唑。金刚烷胺属于金刚烷胺类药物,金刚烷胺结构中含有的是三环状胺。C的结构是伐昔洛韦。
可待因具有成瘾性,其主要原因是
具有抗厌氧菌作用的药物有( )
与阿托品比较,东莨菪碱的特点是
高血压伴消化性溃疡患者不宜选用的药物是( )
吗啡急性中毒致死的主要原因是
磺胺类药物的抗菌机制是
与受体有亲和力,无内在活性的是
乳剂合并后进一步发展使乳剂分为油、水两相称为乳剂的
卡托普利的结构式为

叶呈三回羽状深裂,头状花序极多,小花球形,香气特异的中药材是