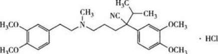
维拉帕米的结构如下图,下列叙述中与之不符的是

本题考查的是维拉帕米的结构特征、代谢。可从图中可看出没有硫原子(S),故可直接判断E选项叙述错误。维拉帕米属于苯烷基胺类药物,苯硫氮类药物代表药物为地尔硫。
可待因具有成瘾性,其主要原因是
具有抗厌氧菌作用的药物有( )
与阿托品比较,东莨菪碱的特点是
高血压伴消化性溃疡患者不宜选用的药物是( )
吗啡急性中毒致死的主要原因是
磺胺类药物的抗菌机制是
与受体有亲和力,无内在活性的是
乳剂合并后进一步发展使乳剂分为油、水两相称为乳剂的
卡托普利的结构式为

叶呈三回羽状深裂,头状花序极多,小花球形,香气特异的中药材是