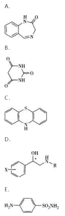
环丙二酰脲类抗癫痫药的化学骨架是

本题考查的是药物的化学骨架结构。丙二酰就是丙基上有2个羰基,即-COCH2CO-,脲基结构是-NH-CO-NH-,两者环合起来称为“内”或“环”,故选项B为环丙二酰脲或丙二内酰脲。噻嗪环并合2个苯环时称为吩噻嗪,即选项C为吩噻嗪类抗精神病药的化学骨架。是指七元环,环内含有2个氮原子时称为二氮,故选项A为苯二氮化学骨架。
可待因具有成瘾性,其主要原因是
具有抗厌氧菌作用的药物有( )
与阿托品比较,东莨菪碱的特点是
高血压伴消化性溃疡患者不宜选用的药物是( )
吗啡急性中毒致死的主要原因是
磺胺类药物的抗菌机制是
与受体有亲和力,无内在活性的是
乳剂合并后进一步发展使乳剂分为油、水两相称为乳剂的
卡托普利的结构式为

叶呈三回羽状深裂,头状花序极多,小花球形,香气特异的中药材是