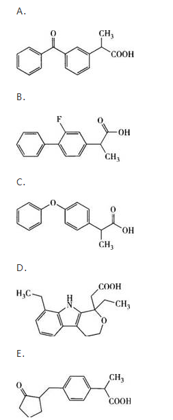
含有吡喃羧酸类结构,抑制环氧化酶-2(COX-2)的芳基丙酸类非甾体类抗炎药是

本题考查的是非甾体抗炎药中芳基丙酸类药物的结构特征、代谢及临床用途。选项中所给结构式依次为酮洛芬、氟比洛芬、非诺洛芬、依托度酸、洛索洛芬。依托度酸为吡喃羧酸类非甾体类抗炎药;抑制环氧化酶-2(COX-2),对环氧化酶-1(COX-1)影响小,抗风湿作用为阿司匹林的10倍,止痛作用为阿司匹林的2~3倍。
可待因具有成瘾性,其主要原因是
具有抗厌氧菌作用的药物有( )
与阿托品比较,东莨菪碱的特点是
高血压伴消化性溃疡患者不宜选用的药物是( )
吗啡急性中毒致死的主要原因是
磺胺类药物的抗菌机制是
与受体有亲和力,无内在活性的是
乳剂合并后进一步发展使乳剂分为油、水两相称为乳剂的
卡托普利的结构式为

叶呈三回羽状深裂,头状花序极多,小花球形,香气特异的中药材是