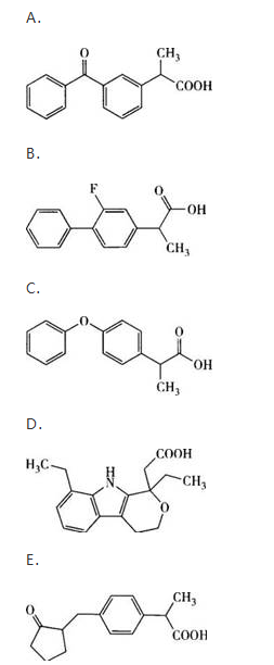
结构为4位环戊酮甲基布洛芬,作用比吲哚美辛强10倍;是一种前药,可通过肝脏中的羰基还原酶迅速转化为其活性的反式醇代谢物的芳基丙酸类非甾体类抗炎药是

本题考查的是非甾体抗炎药中芳基丙酸类药物的结构特征、代谢及临床用途。选项中所给结构式依次为酮洛芬、氟比洛芬、非诺洛芬、依托度酸、洛索洛芬。洛索洛芬为4位环戊酮甲基布洛芬,比吲哚美辛强10倍;是一种前药,可通过肝脏中的羰基还原酶迅速转化为其活性的反式醇代谢物;代谢中产生的顺式醇代谢物没有药理性。
可待因具有成瘾性,其主要原因是
具有抗厌氧菌作用的药物有( )
与阿托品比较,东莨菪碱的特点是
高血压伴消化性溃疡患者不宜选用的药物是( )
吗啡急性中毒致死的主要原因是
磺胺类药物的抗菌机制是
与受体有亲和力,无内在活性的是
乳剂合并后进一步发展使乳剂分为油、水两相称为乳剂的
卡托普利的结构式为

叶呈三回羽状深裂,头状花序极多,小花球形,香气特异的中药材是