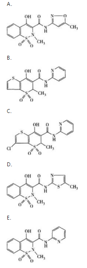
将吡罗昔康结构中的1,2-苯并噻嗪替换成1,2-噻吩并噻嗪结构的昔康类药物是

本题考查的是昔康类药物的结构特征。选项中所给结构依次为依索昔康、替诺昔康、氯诺昔康、美洛昔康、吡罗昔康。本题可根据题干信息对应选项中的结构进行选择。
可待因具有成瘾性,其主要原因是
具有抗厌氧菌作用的药物有( )
与阿托品比较,东莨菪碱的特点是
高血压伴消化性溃疡患者不宜选用的药物是( )
吗啡急性中毒致死的主要原因是
磺胺类药物的抗菌机制是
与受体有亲和力,无内在活性的是
乳剂合并后进一步发展使乳剂分为油、水两相称为乳剂的
卡托普利的结构式为

叶呈三回羽状深裂,头状花序极多,小花球形,香气特异的中药材是