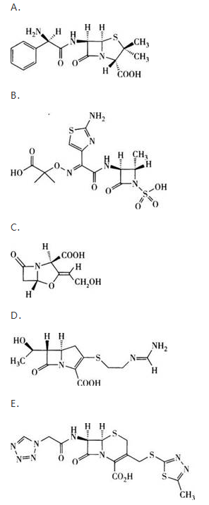
属于碳青霉烯类的β-内酰胺类抗生素是

本题考查的是β-内酰胺类药物结构识别。A是氨苄西林;B是氨曲南;C是克拉维酸;D是亚胺培南;E是头孢唑林。碳青霉烯类是β-内酰胺环与另一个二氢吡咯环并在一起,和青霉素结构不同的是用亚基取代了噻唑环的硫原子,由于次甲基的夹角比硫原子小,加之C2与C3间的双键存在使二氢吡咯环成一个平面结构。亚胺培南是碳青霉烯类抗生素。
可待因具有成瘾性,其主要原因是
具有抗厌氧菌作用的药物有( )
与阿托品比较,东莨菪碱的特点是
高血压伴消化性溃疡患者不宜选用的药物是( )
吗啡急性中毒致死的主要原因是
磺胺类药物的抗菌机制是
与受体有亲和力,无内在活性的是
乳剂合并后进一步发展使乳剂分为油、水两相称为乳剂的
卡托普利的结构式为

叶呈三回羽状深裂,头状花序极多,小花球形,香气特异的中药材是