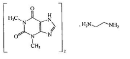
氨茶碱结构如图所示,《中国药典》规定氨茶碱为白色至微黄色的颗粒或粉末,易结块,在空气中吸收二氧化碳,并分解成茶碱,根据氨茶碱的性状,其贮存的条件应满足()

氨茶碱为白色至微黄色的颗粒或粉末,易结块,在空气中吸收二氧化碳,并分解成茶碱,所以,药典规定氨茶碱应在遮光,密闭,阴凉处保存。
可待因具有成瘾性,其主要原因是
具有抗厌氧菌作用的药物有( )
与阿托品比较,东莨菪碱的特点是
高血压伴消化性溃疡患者不宜选用的药物是( )
吗啡急性中毒致死的主要原因是
磺胺类药物的抗菌机制是
与受体有亲和力,无内在活性的是
乳剂合并后进一步发展使乳剂分为油、水两相称为乳剂的
卡托普利的结构式为

叶呈三回羽状深裂,头状花序极多,小花球形,香气特异的中药材是