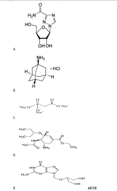
神经氨酸酶是存在于流感病毒表面的糖蛋白,为抗病毒药物的作用靶点。神经氨酸酶可以切断神经氨酸与糖蛋白的连接,释放出病毒复制的关键物质唾液酸(神经氨酸),此过程如图所示:

神经氨酸酶抑制剂能有效阻断流感病毒的复制过程,发挥防治流感的作用。从结构判断,具有抑制神经氨酸酶活性的药物是()

奥司他韦(D)是流感病毒的神经氨酸酶抑制剂,通过抑制NA,能有效地阻断流感病毒的复制过程,对流感的预防和治疗发挥重要的作用。
可待因具有成瘾性,其主要原因是
具有抗厌氧菌作用的药物有( )
与阿托品比较,东莨菪碱的特点是
高血压伴消化性溃疡患者不宜选用的药物是( )
吗啡急性中毒致死的主要原因是
磺胺类药物的抗菌机制是
与受体有亲和力,无内在活性的是
乳剂合并后进一步发展使乳剂分为油、水两相称为乳剂的
卡托普利的结构式为

叶呈三回羽状深裂,头状花序极多,小花球形,香气特异的中药材是