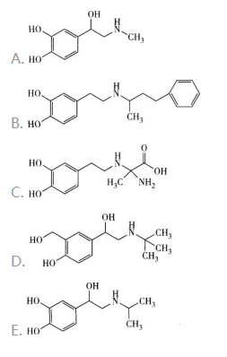
具有儿茶酚胺结构的药物极易被儿茶酚-O-甲基转移酶(COMT)代谢发生反应。下列药物中不发生COMT代谢反应的是()

本题考查儿茶酚胺类药物的代谢。儿茶酚胺的结构即邻苯二酚,参与甲基化反应的基团有酚羟基、胺基、巯基等。甲基化反应具有区域选择性,3位酚羟基易发生甲基化代谢反应,如肾上腺素、去甲肾上腺素、多巴胺、多巴酚丁胺等。例如,肾上腺素经甲基化后生成3-O-甲基肾上腺素。

非儿茶酚胺结构的药物,一般不发生酚羟基的甲基化,如支气管扩张药特布他林含有两个间位酚羟基不发生甲基化反应。沙丁胺醇不属于儿茶酚胺类药物,结构中有三个羟基,只有其中的酚羟基与硫酸结合形成硫酸酯化结合物。而肾上腺素、多巴酚丁胺、甲基多巴、异丙肾上腺素均含有儿茶酚胺结构
可待因具有成瘾性,其主要原因是
具有抗厌氧菌作用的药物有( )
与阿托品比较,东莨菪碱的特点是
高血压伴消化性溃疡患者不宜选用的药物是( )
吗啡急性中毒致死的主要原因是
磺胺类药物的抗菌机制是
与受体有亲和力,无内在活性的是
乳剂合并后进一步发展使乳剂分为油、水两相称为乳剂的
卡托普利的结构式为

叶呈三回羽状深裂,头状花序极多,小花球形,香气特异的中药材是