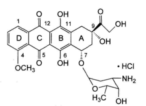
盐酸多柔比星,又称阿霉素,是广谱抗肿瘤药物,其化学结构如下图,临床上,使用盐酸多柔比星注射液时,常发生骨髓抑制和心脏毒性等严重不良反应,解决方法之一是将其制成脂质体制剂。盐酸多柔比星脂质体注射液的辅料有PEG-DSPE、氢化大豆卵磷脂、胆固醇、硫酸铵、蔗糖、组氨酸等。

PEG-DSPE是一种PEG化脂质材料,常用于对脂质体进行PEG化,降低与单核巨噬细胞的亲和力。盐酸多柔比星脂质体以PEG-DSPE为膜结合的脂质体属于
PEG修饰可增加脂质体的柔顺性和亲水性,从而降低与单核巨噬细胞的亲和力,延长循环时间,称为长循环脂质体。长循环脂质体有利于对肝脾以外的组织或器官的靶向作用。同时,将抗体或配体结合在PEG的末端,既可保持长循环,又可保持对靶点的识别。因此盐酸多柔比星脂质体以PEG-DSPE为膜结合的脂质体属于长循环脂质体。
可待因具有成瘾性,其主要原因是
具有抗厌氧菌作用的药物有( )
与阿托品比较,东莨菪碱的特点是
高血压伴消化性溃疡患者不宜选用的药物是( )
吗啡急性中毒致死的主要原因是
磺胺类药物的抗菌机制是
与受体有亲和力,无内在活性的是
乳剂合并后进一步发展使乳剂分为油、水两相称为乳剂的
卡托普利的结构式为

叶呈三回羽状深裂,头状花序极多,小花球形,香气特异的中药材是