某药厂生产的连花清瘟胶囊,其药物组成为连翘、金银花、炙麻黄、炒苦杏仁、石膏、板蓝根、绵马贯众、鱼腥草、薄荷脑、广藿香、大黄、红景天、甘草,具有清瘟解毒、宣肺泄热的功效,主治流行性感冒属热毒滞肺证,症见发热、恶寒、肌肉酸痛、鼻塞流涕、咳嗽、头痛、咽干咽痛、舌偏红、苔黄或黄腻。
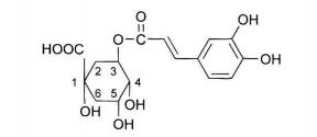
方中含有抗菌作用化学成分为药是

本题考查的是金银花中的有效成分。本题中给出的成分是绿原酸的结构,是金银花中抗菌的有效成分。
可待因具有成瘾性,其主要原因是
具有抗厌氧菌作用的药物有( )
与阿托品比较,东莨菪碱的特点是
高血压伴消化性溃疡患者不宜选用的药物是( )
吗啡急性中毒致死的主要原因是
磺胺类药物的抗菌机制是
与受体有亲和力,无内在活性的是
乳剂合并后进一步发展使乳剂分为油、水两相称为乳剂的
卡托普利的结构式为

叶呈三回羽状深裂,头状花序极多,小花球形,香气特异的中药材是