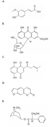
《中国药典》规定,芦荟的含量测定指标成分芦荟苷的结构是

本题考查中药中的化学成分。A为阿魏酸,B为芦荟苷,C为紫草素,D为补骨脂内酯,E为莨菪碱。
可待因具有成瘾性,其主要原因是
具有抗厌氧菌作用的药物有( )
与阿托品比较,东莨菪碱的特点是
高血压伴消化性溃疡患者不宜选用的药物是( )
吗啡急性中毒致死的主要原因是
磺胺类药物的抗菌机制是
与受体有亲和力,无内在活性的是
乳剂合并后进一步发展使乳剂分为油、水两相称为乳剂的
卡托普利的结构式为

叶呈三回羽状深裂,头状花序极多,小花球形,香气特异的中药材是