2021年全国棉花播种面积为3028.1千公顷,比上年下降4.4%。其中,我国最大产棉区新疆棉花播种面积为2506.1千公顷,比上年增长0.2%。新疆棉花播种面积增加的主要原因是国家对该地区继续实行棉花目标价格补贴政策,加之去年以来棉花价格上涨,农户种棉积极性较为稳定。其他棉区受种植效益和种植结构调整等因素影响,棉花播种面积比上年下降21.7%,自2009年以来连续13年下降。其中,长江流域棉区播种面积比上年减少51.7千公顷,下降18.2%;黄河流域棉区播种面积比上年减少91.8千公顷,下降25.7%。
2021年全国棉花单位面积产量为1892.6公斤/公顷,比上年增长1.5%。其中,新疆地区棉花单位面积产量为2046.4公斤/公顷,比上年下降0.8%。由于今年新疆春季低温时间长,夏季局部阶段性干旱,对棉花生产造成不利影响,但后期气象条件转好,农户加强田间管理,新疆棉花单产稳中略降。其他棉区气象条件总体较为适宜,棉花单位面积产量为1153.9公斤/公顷,比上年增长2.7%。其中,长江流域棉区单位面积产量为1049.5公斤/公顷,比上年增长3.8%;黄河流域棉区单位面积产量为1199.3公斤/公顷,比上年增长1.7%。
2021年黄河流域棉区的棉花产量约比去年:
第一步,本题考查平均数增长率计算问题。
第二步,定位文字材料。
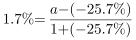
第三步,根据平均数=总数/总个数以及平均数增长率计算公式
,产量对应增长率为a,面积对应增长率为b,代入数据可得
,解得a≈-24.4%。
因此,选择C选项。
《三国演义》开篇称:“天下大势,分久必合,合久必分。”但是这句话未必准确,因为( )。
从所给的四个选项中,选择最合适的一个填入问号处,使之呈现一定的规律性:
体验营销是指企业采用让目标顾客观摩、聆听、尝试、试用等方式,使其亲身体验企业提供的产品或服务,让顾客实际感知产品或服务的品质或性能,从而促使顾客认知、喜好并购买的一种营销方式。
根据上述定义,下列采用了体验营销方式的是( )。
作为领导干部,对下岗职工的生活决不能_______。填入画横线部分最恰当的一项是( )。
没有争议的行为,肯定不是创造;没有争议的人物,肯定不是创造者。任何真正的创造都是对原有模式的背离,对社会适应的突破,对民众习惯的挑战。如果眼巴巴地指望众人理解,创造的纯粹性必然会大大降低。平庸,正在前面招手。通过文段,作者想要告诉我们的道理是( )。
我国对资本主义工商业进行社会主义改造的政策是( )。
对县级以上各级人民代表大会代表批准或者决定逮捕必须经过( )。
债券价格是债券现金流的现值,债券价格的变化与债券收益率的变化( )。
下列哪一项不属于《宪法》规定的公民的基本权利?( )
否定需求,是指全部或者多数消费者对某些产品不但不产生需求,反而对这种商品持回避或拒绝的态度。根据上述定义,下列属于否定需求的是:( )