某乡镇下辖6个贫困村,干部小赵和调研员小孙各自安排走访顺序,在周一至周六每天各走访一个贫困村,如果两人均是随机安排走访顺序,则小赵和小孙在这六天中至少有四天走访同一个贫困村的概率:
第一步,本题考查概率问题。
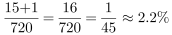
第二步,小赵随意安排走访顺序,小赵的走访顺序有
(种),小孙至少有四天与小赵走访同一个贫困村包含两种情况:①恰好有4天相同,有
(种);②6天的走访顺序均相同,有1种。故所求概率为
,低于5%。
因此,选择A选项。
《三国演义》开篇称:“天下大势,分久必合,合久必分。”但是这句话未必准确,因为( )。
从所给的四个选项中,选择最合适的一个填入问号处,使之呈现一定的规律性:
体验营销是指企业采用让目标顾客观摩、聆听、尝试、试用等方式,使其亲身体验企业提供的产品或服务,让顾客实际感知产品或服务的品质或性能,从而促使顾客认知、喜好并购买的一种营销方式。
根据上述定义,下列采用了体验营销方式的是( )。
作为领导干部,对下岗职工的生活决不能_______。填入画横线部分最恰当的一项是( )。
没有争议的行为,肯定不是创造;没有争议的人物,肯定不是创造者。任何真正的创造都是对原有模式的背离,对社会适应的突破,对民众习惯的挑战。如果眼巴巴地指望众人理解,创造的纯粹性必然会大大降低。平庸,正在前面招手。通过文段,作者想要告诉我们的道理是( )。
我国对资本主义工商业进行社会主义改造的政策是( )。
对县级以上各级人民代表大会代表批准或者决定逮捕必须经过( )。
债券价格是债券现金流的现值,债券价格的变化与债券收益率的变化( )。
下列哪一项不属于《宪法》规定的公民的基本权利?( )
否定需求,是指全部或者多数消费者对某些产品不但不产生需求,反而对这种商品持回避或拒绝的态度。根据上述定义,下列属于否定需求的是:( )