
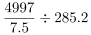
2021年1—11月份,规模以上非金属矿物制品业利润总额同比增量约是通用设备制造业的多少倍?
第一步,本题考查增长量与倍数杂糅问题。
第二步,定位表格材料。
第三步,根据增长量计算n+1原则,及15.4%≈
,11.1%≈
,可得2021年1—11月份,规模以上非金属矿物制品业利润总额同比增量约是通用设备制造业的
=
≈
,直除首两位商23。
因此,选择A选项。
《三国演义》开篇称:“天下大势,分久必合,合久必分。”但是这句话未必准确,因为( )。
从所给的四个选项中,选择最合适的一个填入问号处,使之呈现一定的规律性:
体验营销是指企业采用让目标顾客观摩、聆听、尝试、试用等方式,使其亲身体验企业提供的产品或服务,让顾客实际感知产品或服务的品质或性能,从而促使顾客认知、喜好并购买的一种营销方式。
根据上述定义,下列采用了体验营销方式的是( )。
作为领导干部,对下岗职工的生活决不能_______。填入画横线部分最恰当的一项是( )。
没有争议的行为,肯定不是创造;没有争议的人物,肯定不是创造者。任何真正的创造都是对原有模式的背离,对社会适应的突破,对民众习惯的挑战。如果眼巴巴地指望众人理解,创造的纯粹性必然会大大降低。平庸,正在前面招手。通过文段,作者想要告诉我们的道理是( )。
我国对资本主义工商业进行社会主义改造的政策是( )。
对县级以上各级人民代表大会代表批准或者决定逮捕必须经过( )。
债券价格是债券现金流的现值,债券价格的变化与债券收益率的变化( )。
下列哪一项不属于《宪法》规定的公民的基本权利?( )
否定需求,是指全部或者多数消费者对某些产品不但不产生需求,反而对这种商品持回避或拒绝的态度。根据上述定义,下列属于否定需求的是:( )