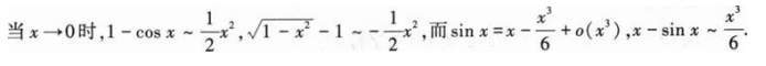
当x→0时,下列四个无穷小量中,哪一个是比其他三个更高阶的无穷小量 ()


因此,选项A、B、C中的无穷小量同阶,而选项D中的无穷小量比其他三个更高阶,应选D.
在社会规范学习与道德品质发展的研究中,班都拉(ABandura)等心理学家的研究重点是
与悬浮-密实结构的沥青混合料相比,关于骨架-空隙结构的黏聚力和内摩擦角的说法,正确的是( )。
沥青混合料结构组成中,骨架-空隙结构的特点是( )。
柔性路面主要代表是沥青类路面,其破坏主要取决于( )和极限垂直变形。
关于企业法人对其法定代表人行为承担民事责任的下列哪一表述是正确的
雅各宾派也被称为()



