当前位置:首页学历类研究生入学396经济学类联合->

396经济学类联合,章节练习,经济类联考微积分

396经济学类联合,章节练习,经济类联考微积分

  • A.见图A
  • B.见图B
  • C.见图C
  • D.见图D
查看答案 纠错
答案: C
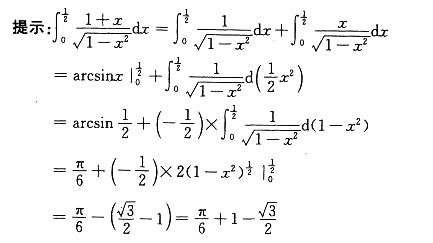
本题解析:

396经济学类联合,章节练习,经济类联考微积分

更新时间:2023-01-04 06:39

你可能感兴趣的试题

单选题

在社会规范学习与道德品质发展的研究中,班都拉(ABandura)等心理学家的研究重点是

  • A.道德认识
  • B.道德情感
  • C.道德意志
  • D.道德行为
查看答案
单选题

与悬浮-密实结构的沥青混合料相比,关于骨架-空隙结构的黏聚力和内摩擦角的说法,正确的是( )。

  • A.黏聚力大,内摩擦角大
  • B.黏聚力大,内摩擦角小
  • C.黏聚力小,内摩擦角大
  • D.黏聚力小,内摩擦角小
查看答案
单选题

沥青混合料结构组成中,骨架-空隙结构的特点是( )。

  • A.黏聚力较高,内摩擦角较小
  • B.黏聚力较高,内摩擦角较大
  • C.黏聚力较低,内摩擦角较大
  • D.黏聚力较低,内摩擦角较小
查看答案
单选题

柔性路面主要代表是沥青类路面,其破坏主要取决于( )和极限垂直变形。

  • A.剪切变形
  • B.抗剪强度
  • C.弯拉强度
  • D.弯拉应变
查看答案
单选题

关于企业法人对其法定代表人行为承担民事责任的下列哪一表述是正确的

  • A.仅对其合法的经营行为承担民事责任
  • B.仅对其符合法人章程的经营行为承担民事责任
  • C.仅对其以法人名义从事的经营行为承担民事责任
  • D.仅对其符合法人登记经营范围的经营行为承担民事责任
查看答案
单选题

雅各宾派也被称为()

  • A.沼泽派
  • B.平等派
  • C.忿激派
  • D.山岳派
查看答案
问答题

数学一,章节练习,考研数学高等数学部分

查看答案
问答题

数学一,章节练习,考研数学高等数学部分

查看答案
问答题

数学一,章节练习,考研数学高等数学部分

查看答案
问答题

数学一,章节练习,考研数学高等数学部分

查看答案