当前位置:首页公务员军队文职人员招聘军队文职数学2->

军队文职数学2,章节练习,文职数学题高等数学

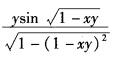
  • A.军队文职数学2,章节练习,文职数学题高等数学
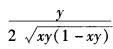
  • B.军队文职数学2,章节练习,文职数学题高等数学
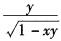
  • C.军队文职数学2,章节练习,文职数学题高等数学
  • D.军队文职数学2,章节练习,文职数学题高等数学
查看答案 纠错
答案: D
本题解析:

军队文职数学2,章节练习,文职数学题高等数学

更新时间:2023-02-02 11:24

你可能感兴趣的试题

单选题

社会工作者小张为了鼓励居民参与社区活动,对居民参与态度和参与能力进行了调查,提出下列观点,其中错误的是( )。

  • A.居民参与社区活动需要时间和经费的保证
  • B.居民参与社区活动需要具备参与知识和技巧
  • C.居民参与社区活动主要受环境因素的影响
  • D.居民愿意参加与自身利益相关的社区活动
查看答案
多选题

在为老年人做预估时,应考虑( )。

  • A.经济效益
  • B.老人身体限制
  • C.老人的收入水平
  • D.预估的最佳时机
  • E.保密问题
查看答案
多选题

社会工作者在为老年人提供服务时可以采用小组工作的方法,但是下列情形中不宜采用此种方法的是( )。

  • A.有精神疾病
  • B.老年人情绪低落
  • C.有严重行为问题
  • D.患有器质性疾病,头脑混乱
  • E.老年人身体状况不好,出行有实际困难
查看答案
单选题

( )是老年人最显著的特点。

  • A.老化
  • B.沉默
  • C.怀旧
  • D.孤独感
查看答案
单选题

谢慧在为社区孤寡老人提供服务时,总是把他们当成自己的父母来照顾。面对这些无儿无女的老人,她总会潸然泪下。显然,在她心里这些孤寡老人也是自己的亲人。谢慧的这种现象属于( )。

  • A.移情现象
  • B.情感转移
  • C.透支现象
  • D.反移情现象
查看答案
单选题

独居老人张伯伯不慎摔倒,造成骨折。出院后社会工作者为他联系社区医院协助其康复训练。同时,还联系社区服务机构为张伯伯提供居家和送餐服务。上述社会工作服务属于( )。

  • A.个体康复
  • B.社区照顾
  • C.健康服务
  • D.长期照顾
查看答案
单选题

老年人有老年人的意愿需要表达,有老年人的利益需要维护,有老年人的作用需要发挥,这是指老年人的( )需要。

  • A.健康维护
  • B.社会参与
  • C.经济保障
  • D.婚姻家庭
查看答案
单选题

在社区参与的( )形式中,虽然居民被邀请参加了决策过程,但社区建设或改造的最初设计者通常会设定讨论议题的范围,限定其他参与者的决策权。

  • A.协商
  • B.咨询
  • C.共同行动
  • D.社区自治
查看答案
多选题

老年社区工作的基本原则包括( )。

  • A.分权
  • B.采用优势视角
  • C.统筹规划
  • D.充权
  • E.资源链接与整合
查看答案
多选题

以下有关老年人特点的表述中,不正确的有( )。

  • A.随着年龄的增长老年人的生理器官在逐渐丧失功能
  • B.随着年龄的增长老年人逐渐产生反应迟缓现象
  • C.随着年龄的增长老年人的角色在变化
  • D.随着年龄的增长老年人的工作能力在丧失
  • E.随着年龄的增长老年人的经验在增加
查看答案