当前位置:首页 → 财会类 → 中级经济师 → 中级建筑与房地产经济->某工程项目的进度计划如下列单代号网络图所示,时间单位为周。下
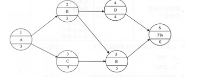
某工程项目的进度计划如下列单代号网络图所示,时间单位为周。

下列工作中,属于该工程项目重点控制对象的为( )。
在该工程中关键工作为A、C、E,所以,应重点控制的对象为此三项工作,故选BD.
下列关于工程监理单位和监理人员职责的表述中,正确的是()。
下列选项中,项目监理机构可设置总监理工程师代表的情形有( )。
直线制监理组织形式的主要特点是()。
在建立项目监理机构的工作步骤中,最后需要完成的工作是()。
政府为了保护农业生产者,对部分农业产品规定了保护价格。为了采取这种价格政策, 应采取相应的措施是( )。
需求价格弹性的计算公式为()。
下列关于影响商品需求弹性因素的说法,正确的有( )。
以下关于需求价格弹性的影响因素说法中,错误的是( )。
就一般商品而言,可以作为划分“高档品”“必需品”和“低档品”的弹性标准是( )。
下列关于最高限价的说法,错误的是( )。