当前位置:首页 → 财会类 → 中级经济师 → 中级建筑与房地产经济->某工程6月份已完成工程量金额为5000万元,合同中约定采用价
某工程6月份已完成工程量金额为5000万元,合同中约定采用价格指数调整法进行合同价款调整。已知定值权重为0.25。可调因子有三项,权重分别为0.15、0.35和0.25。6月份价格指数比基准日期分别增长了15%、20%和25%,则6月份工程价款调整金额是( )万元。
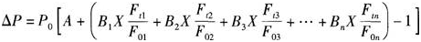
此题考查因物价变化调整合同价款的方法。价格指数调整法,因人工、材料和工程设备、施工机械台班等价格波动影响合同价格时,应按下式计算差额并调整合同价款:

式中,AP表示需调整的价格差额;P0表示约定的付款证书中承包人应得到的已完成工程量的金额。故在本题中,6月份工程价款调整金额为:5000×[0.25+(0.15×1.15+0.35×1.2+0.25×1.25)-1]=775(万元)。
下列关于工程监理单位和监理人员职责的表述中,正确的是()。
下列选项中,项目监理机构可设置总监理工程师代表的情形有( )。
直线制监理组织形式的主要特点是()。
在建立项目监理机构的工作步骤中,最后需要完成的工作是()。
政府为了保护农业生产者,对部分农业产品规定了保护价格。为了采取这种价格政策, 应采取相应的措施是( )。
需求价格弹性的计算公式为()。
下列关于影响商品需求弹性因素的说法,正确的有( )。
以下关于需求价格弹性的影响因素说法中,错误的是( )。
就一般商品而言,可以作为划分“高档品”“必需品”和“低档品”的弹性标准是( )。
下列关于最高限价的说法,错误的是( )。