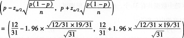
表3—1是2006年中国31个主要城市年平均相对湿度的数据(单位:%)。

如果希望估计我国所有城市中年平均相对湿度小于60%的城市所占的比例,则该比例95%置信度的区间估计为(??)。

同总体均值的置信区间构造方法一致,一般总体比率未知,用样本比率来代替,则总体比率的置信区间为:

按失业产生的原因,可将失业分为()。
对于定性数据,反映其集中趋势的数字特征有()
在直线回归方程中()。
销售额与流通费用率,在一定条件下,存在相关关系,这种相关关系属于()。
统计资料的具体表现形式有()。
在不重置抽样时,样本均值的标准差为()。

回归系数和相关系数的符号是一致的,其符号均可用来判断现象()。
统计工作的独立性原则是指()。
下列项目中属于固定资产投资完成额构成的有()。
下列活动中属于固定资产投资活动的有()。