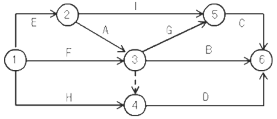
根据下面所示双代号网络图,工作D的紧前工作有()。

P166
本题考查的是工作顺序安排。由双代号网络图可知,D 工作的紧前工作有工作 A、工作F 和工作 H。
根据《建设工程质量管理条例》,设计文件应符合国家规定的设计深度要求并注明工程( )。
某工程工作逻辑关系如下表,C工作的紧后工作有( )。

工程竣工验收时,应当具备的条件有( )。
根据《建设工程质量管理条例》,在正常使用条件下,关于建设工程最低保修期限的说法,正确的有( )。
利用经济评价指标评判项目的可行性,说法错误的是()。
当项目效果不能或难于货币量化时,或货币量化的效果不是项目目标的主体时,在经济分析中可采用()方法,并将其结论作为项目投资决策的依据。
建设项目经济评价中,费用效果分析基本指标是()。
总投资收益率是指项目达到设计能力后正常年份的()与项目总投资的比率。
可行性研究报告市场预测分析中,市场风险分析包括( )。
某建设项目前两年每年年末投资400 万元,从第3 年开始,每年年末等额回收260 万元,项目计算期为10 年。设基准收益率(ic)为10%,则该项目的财务净现值为()万元。