已知等比数列
()
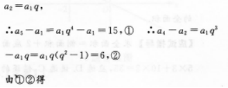
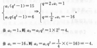
【考情点拨】本题主要考查的知识点为等比数列. 【应试指导】由已知条件得



阅读图文材料,完成下列要求。(18分)
大陆冰川在向海洋运动的过程中,侵蚀海岸,形成槽谷;冰川退却后,海水侵入槽谷。形成峡湾。图11所示区域是典型的峡湾分布区之一,其陆地部分在末次冰盛期被巨厚的冰川覆盖,目前仍分布有面积较大的现代冰川。该区域的东南部沿海地区森林茂密。峡湾风光和冰川地貌吸引众多摄影爱好者和地理学者前往。

(1)描述图示区域现代冰川的分布特征。(6分)
(2)分析图示沿海地区森林茂密的自然条件。(6分)
(3)列举世界其他一处可以观赏到峡湾景观的地方,指出观赏季节并说明理由。(6分)
阅读图表材料,完成下列要求。(17分)
图10示意我国历次人口普查部分数据。表1为我国历次人口普查城镇化率。

(1)根据表1数据,补绘我国城镇化率变化折线。(5分)
(2)归纳我国城乡人口变化特点。(12分)
阅读材料,回答问题。(11分)
材料1961年9月,第一次不结盟国家和政府首脑会议在贝尔格莱德举行。出席会议的有25
个国家,通过了《会议宣言》。《宣言》宣布:不结盟国家鼓励和支持为自己的独立和平等而进行斗争的各国人民;主张立即无条件地、彻底地和最后废除殖民主义,并共同努力制止各种新殖民主义;强调“和平共处的原则,是代替‘冷战’和可能发生的全面核灾祸的唯一的办法”。《宣言》表示“不结盟国家无意组成一个新的集团而且也不能成为一个集团”。
——摘编自齐世荣主编《世界史》
说明不结盟运动兴起的原因及意义。
阅读材料,回答问题。(12分)
材料科举制度滥觞于隋而成熟于唐。唐朝科举考试既有每年举行的常科,还有临时不定期
由皇帝亲自主持的制科。常科分为秀才、明经、进士、明法等科;制科以策论为主,也考经史与诗赋。士人一旦被录取,“文策高者,特授以美官,其次与出身”。科举制为下层的读书人开辟了一条入仕的道路,有利于国家广泛地选拔经邦治国的优秀人才。
——摘编自张岂之主编《中国历史》
简述隋唐时期科举制度的主要内容及影响。
回答问题。(12分)
1924年,孙中山接受中国共产党的意见,确立了“联俄、联共、扶助农工”的三大政策,重新解释三民主义。简述新三民主义与中国共产党民主革命纲领的联系与区别。
某城市试点共享单车和共享汽车服务。其中,共享汽车是纯电动汽车,市民利用手机小程序就能快速订车使用。图示意该城市某工作日不同区域共享单车的停车数量变化。据此完成题。

该城市推出共享汽车,有利于( )
某城市试点共享单车和共享汽车服务。其中,共享汽车是纯电动汽车,市民利用手机小程序就能快速订车使用。图示意该城市某工作日不同区域共享单车的停车数量变化。据此完成题。

图中I、Ⅱ曲线分别代表( )
近年来,上海中心城区与周边城镇之间的通勤人数显著增加。图示意某月上海中心城区与周边通勤热点城镇之间的通勤规模。据此完成题。

近年来,上海中心城区与周边城镇之间的通勤人数显著增加,主要得益于( )
近年来,上海中心城区与周边城镇之间的通勤人数显著增加。图示意某月上海中心城区与周边通勤热点城镇之间的通勤规模。据此完成题。

图示通勤量大的热点城镇大多( )
京津冀城市群、长江三角洲城市群、珠江三角洲城市群、长江中游城市群和成渝城市群是我国人口的主要流入区。图示意2000—2010年五大城市群新增流入人口状况,其中相对增速是省际增速与省内增速的比值。据此完成题。

与沿海城市群相比,内陆城市群的新增流人人口( )