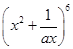
当前位置:首页职业资格教师资格中学数学学科知识与教学能力->若的二项展开式中的系数为,则a=_____(用数字作答)。

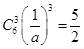
中学数学学科知识与教学能力,专项训练,中学数学学科知识与教学能力的二项展开式中中学数学学科知识与教学能力,专项训练,中学数学学科知识与教学能力的系数为中学数学学科知识与教学能力,专项训练,中学数学学科知识与教学能力,则a=_____(用数字作答)。

查看答案 纠错
答案:
本题解析:

根据二项式展开式通项公式到展开式中中学数学学科知识与教学能力,专项训练,中学数学学科知识与教学能力的系数为中学数学学科知识与教学能力,专项训练,中学数学学科知识与教学能力,则有12-3r=3,解得r=3。故有中学数学学科知识与教学能力,专项训练,中学数学学科知识与教学能力,所以中学数学学科知识与教学能力,专项训练,中学数学学科知识与教学能力,解得a=2。

更新时间:2022-12-23 09:20

你可能感兴趣的试题

单选题

有“泥土诗人”之称的诗人是()。

  • A.臧克家
  • B.田间
  • C.艾青
  • D.许地山
查看答案
单选题

将下列各项按所表示年龄大小顺序排列,正确的顺序应是( )。

①不惑②垂髫③花甲④加冠⑤而立⑥古稀⑦半百

  • A.②④①⑦⑤③⑥
  • B.④②③⑥①⑦⑤
  • C.⑥⑤③②④⑦①
  • D.②④⑤①⑦③⑥
查看答案
单选题

1931年,一位给人们带来光明的科学家重病的消息牵动着世界人民的心,几十名记者为他守夜。每隔一个小时就对外发布一次消息:“灯”还亮着。这位科学家是( )。

  • A.瓦特
  • B.法拉第
  • C.爱迪生
  • D.爱因斯坦
查看答案
单选题

钱穆在评论中国古代某制度时说,它“可以培植全国人民对政治之兴味……可以团结全国各地域于一个中央之统治”,这一制度是()。

  • A.郡县制
  • B.察举制
  • C.科举制
  • D.行省制
查看答案
单选题

明朝初年强化君主专制的措施是()。

  • A.增设军机处
  • B.采用三省六部制
  • C.废除丞相.权分六部
  • D.设中书省为全国最高行政机构
查看答案
单选题

《诗经》中描绘了一个美丽清泠、朦胧迷茫的抒情境界,刻画诗人徘徊追思的形象,借助景物和意象含蓄委婉地表达相思和追怀之情的诗篇是( )。

  • A.《邶风·静女》
  • B.《周南·关睢》
  • C.《陈风·月出》
  • D.《秦风·蒹葭》
查看答案
单选题

既是俄罗斯浪漫主义的杰出代表,同时又是俄罗斯现实主义的奠基人的是( )。

  • A.果戈里
  • B.普希金
  • C.高尔基
  • D.托尔斯泰
查看答案
单选题

“今有一人,入人园圃,窃其桃李。”下列关于“园圃”的说法正确的是( )。

  • A.是双声联绵词
  • B.是叠韵联绵词
  • C.是偏义复词
  • D.是单纯词
查看答案
单选题

海涅在《德国,一个冬天的童话》中所批判的“精神的巴士底监狱”指的是( )

  • A.教会
  • B.君主政权
  • C.封建制度
  • D.德国的检查制度
查看答案
单选题

知识是个体通过与环境相互作用后获得的( )。

  • A.感受与体验
  • B.前人经验
  • C.记忆的内容
  • D.信息及其组织
查看答案